黑河上游降水同位素特征及其水汽来源分析 |
| 孟鸿飞, 张明军, 王圣杰, 邱雪, 周苏娥, 张亚宁, 余秀秀, 王雯 |
|
Precipitation isotope characteristics and water vapor source analysis in the upper reaches of the Heihe River |
| Hongfei MENG, Mingjun ZHANG, Shengjie WANG, Xue QIU, Su’e ZHOU, Yaning ZHANG, Xiuxiu YU, Wen WANG |
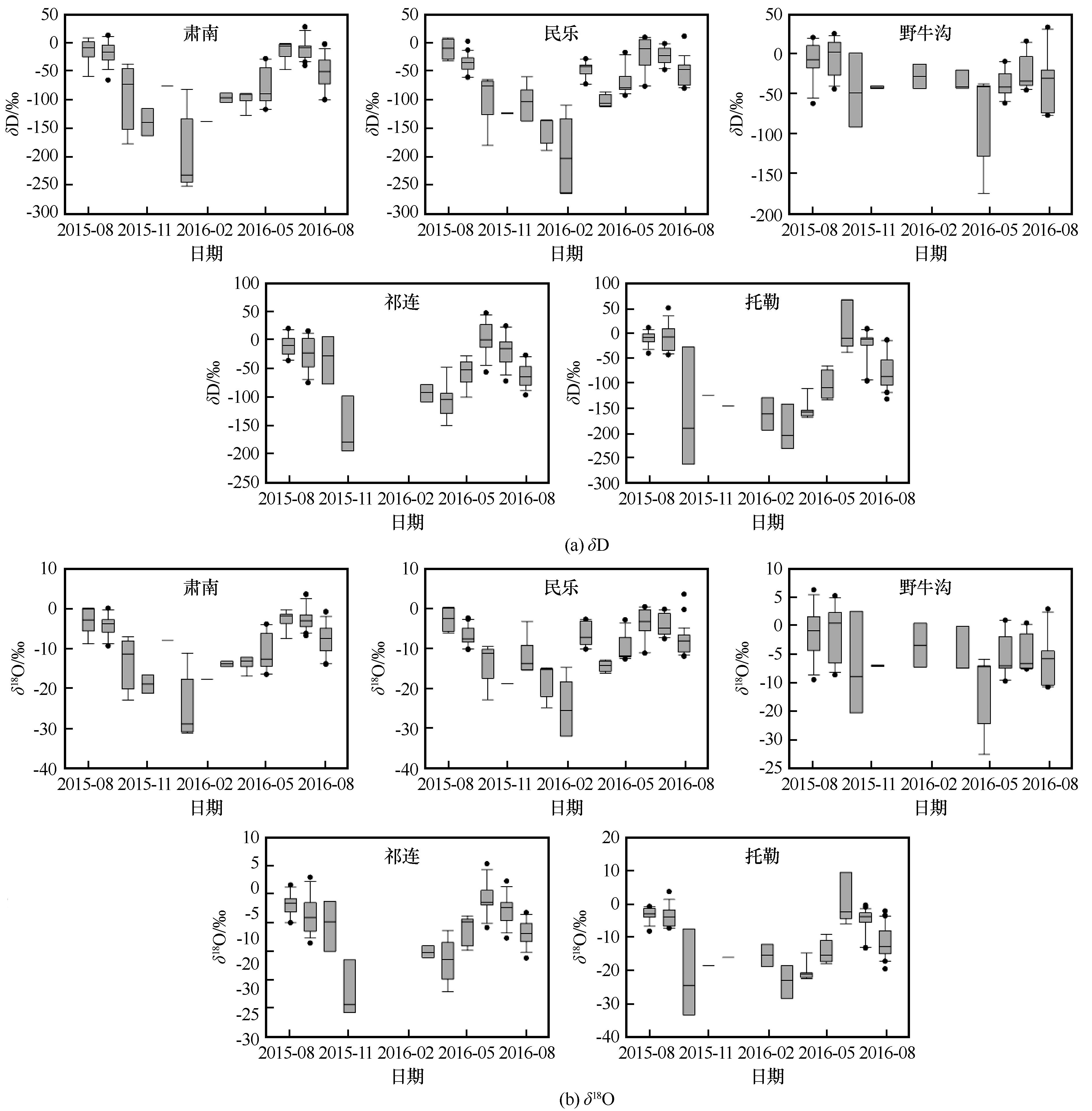
| 图3 黑河上游各站点降水中δ18O和δD的月变化特征 |
| Fig.3 Monthly variation of δ18O and δD of precipitation in the upper reaches of Heihe River |
|