季节冻土区水泥改良路基土的温缩性能研究 |
| 崔宏环, 刘卫涛, 张立群 |
|
Study on the temperature shrinkage property of cement modified embankment soil in seasonally frozen soil regions |
| Honghuan CUI, Weitao LIU, Liqun ZHANG |
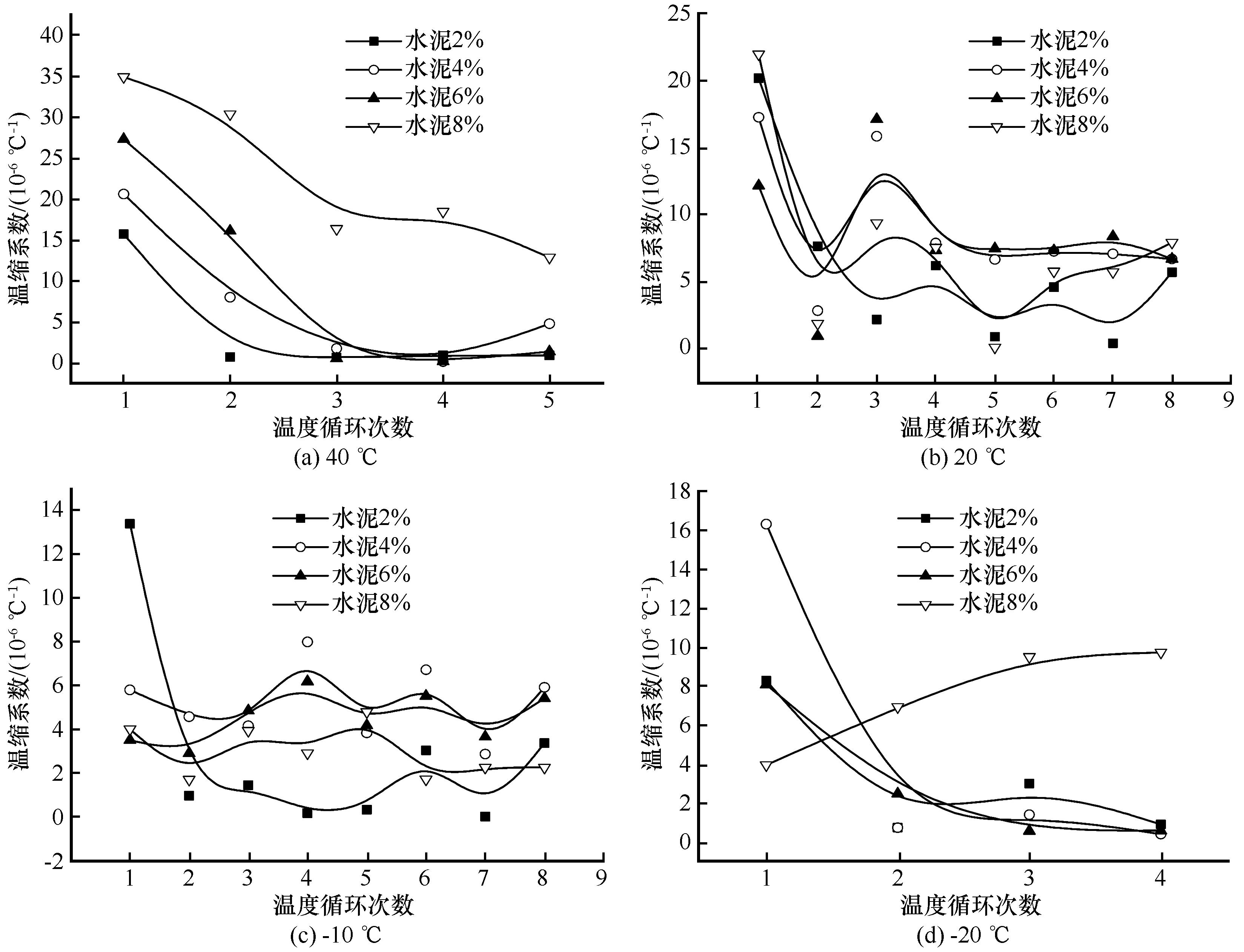
| 图11 水泥改良土温缩系数随温度循环次数的变化 |
| Fig.11 Temperature shrinkage coefficient of cement modified soil changing with number of temperature cycles for various cement mixing amount at 40 ℃ (a), 20 ℃ (b), -10 ℃ (c) and -20 ℃ (d) |
|