1988—2015年新疆农业用水时空变化与政策驱动研究 |
| 张沛, 龙爱华, 海洋, 邓晓雅, 王浩, 刘静, 李扬 |
|
Spatiotemporal variations and driving forces of agricultural water consumption in Xinjiang during 1988—2015: based on statistical analysis of crop water footprint |
| Pei ZHANG, Aihua LONG, Yang HAI, Xiaoya DENG, Hao WANG, Jing LIU, Yang LI |
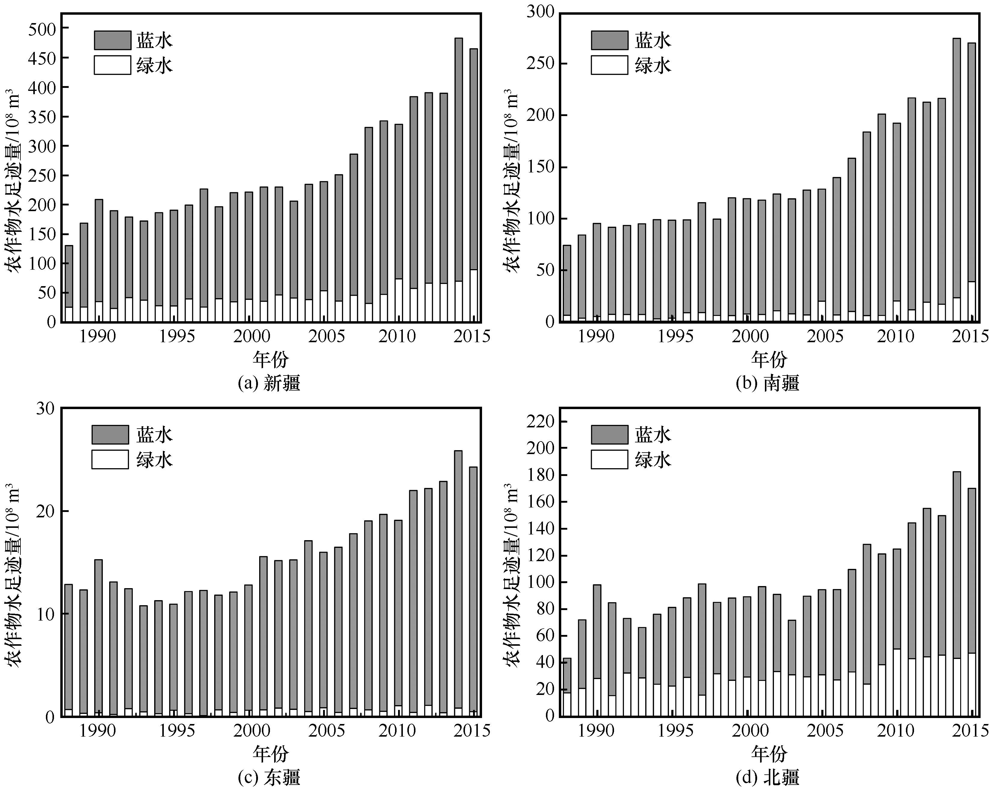
| 图5 新疆水足迹的组成 |
| Fig.5 Annual variations of blue water footprint and green water footprint in Xinjiang as a whole (a) and in southern Xinjiang (b), eastern Xinjiang (c) and northern Xinjiang (d) |
|