甘新城市大气挥发性有机物和颗粒物的污染特征及健康风险评估 |
| 周茜, 李忠勤, 牟翠翠, 王飞腾, 李开明, 尤晓妮, 张昕, 王芳龙 |
|
Pollution characteristics and health risk assessment of atmospheric volatile organic compounds and particulate matter in Gansu-Xinjiang cities |
| Xi ZHOU, Zhongqin LI, Cuicui MU, Feiteng WANG, Kaiming LI, Xiaoni YOU, Xin ZHANG, Fanglong WANG |
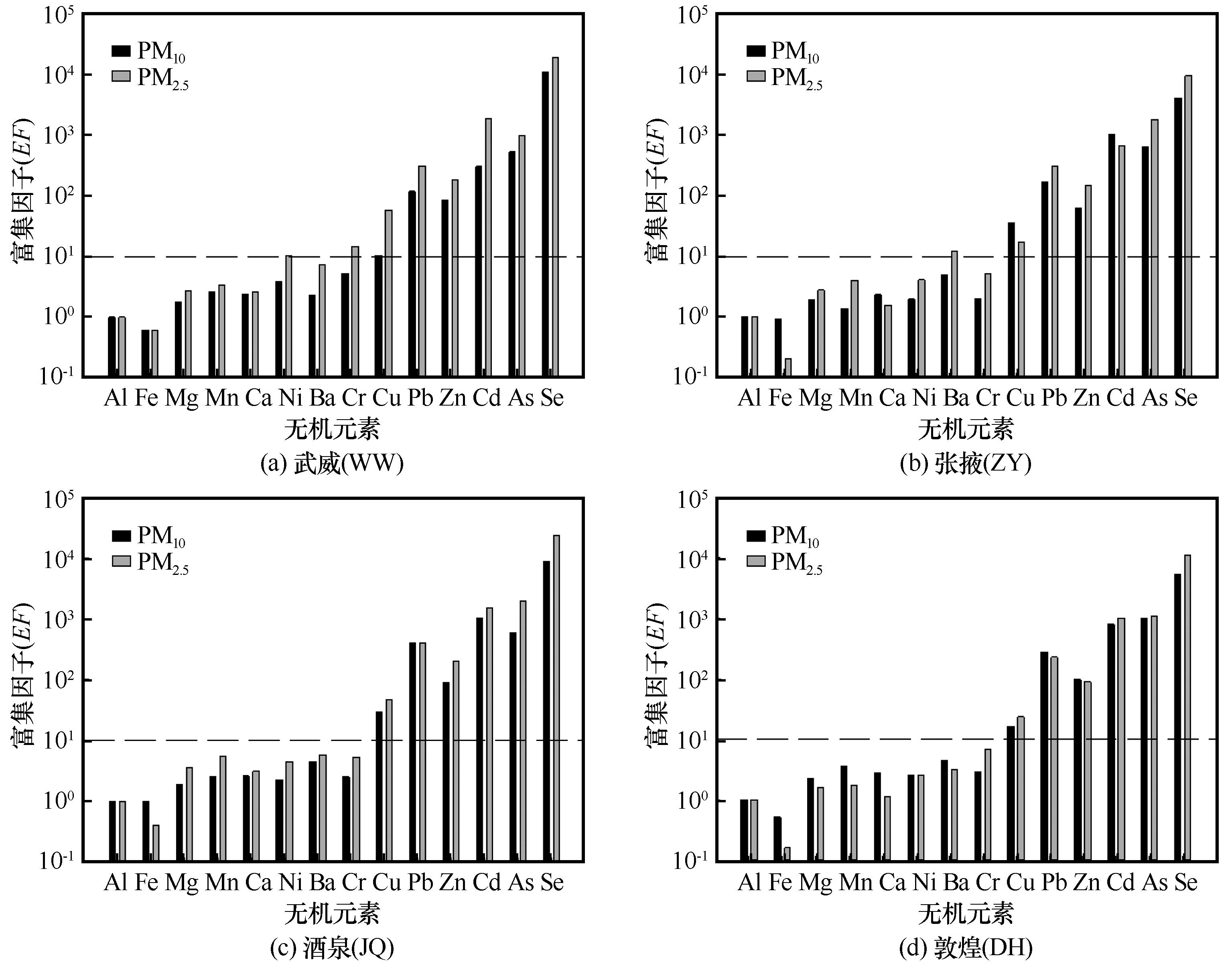
| 图5 甘新城市无机元素的富集因子(EF) |
| Fig. 5 Enrichment factors (EF) of inorganic elements in Gansu-Xinjiang cities: Wuwei (a), Zhangye (b), Jiuquan (c) and Dunhuang (d) |
|